đối tác - khách hàng
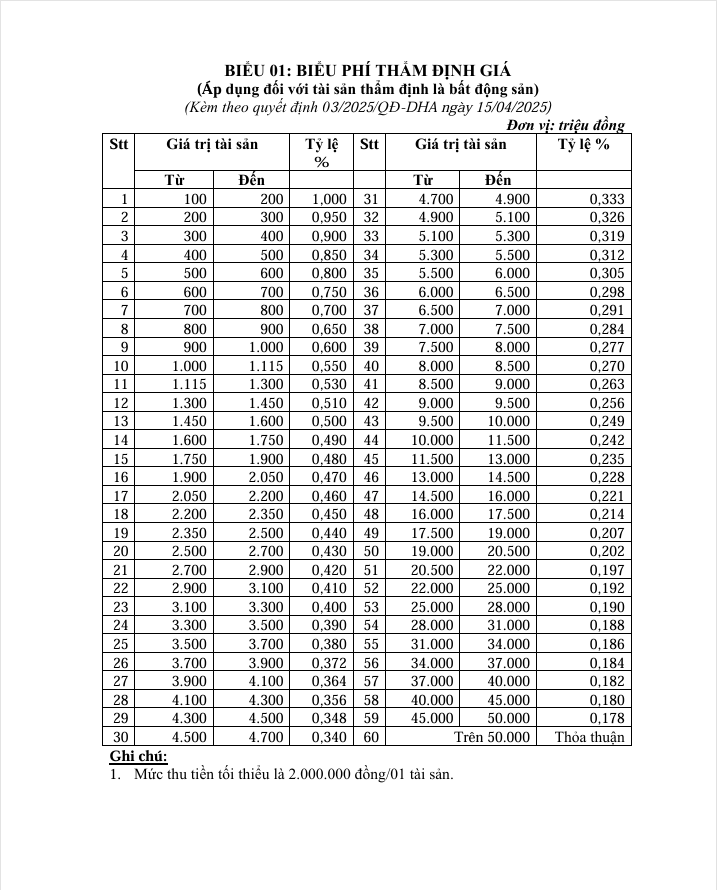
Dịch vụ / Biểu phí thẩm định năm 2025
Biểu phí thẩm định năm 2025
.png)
.png)
.png)
.png)
.png)
.png)
Hotlines
Nhấn để gọi
.png)
.png)
.png)
.png)
.png)
.png)
Công ty TNHH tư vấn và Thẩm định giá DHA
DHA Advisory and Valuation Company Limited
Trụ sở: Số nhà 16, ngõ 131, đường Vương Thừa Vũ, phường Khương Trung, quận Thanh Xuân, thành phố Hà Nội
Điện thoại: 0947080480 - 0947080408 - Email: thamdinhgiadha@gmail.com